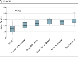
Bap1 Cancer Syndrome Malignant Mesothelioma Uveal And Cutaneous Melanoma And Mbaits : Biological Mechanisms And Clinical Significance Of Bap1 Mutations In Human Cancer Cancer Discovery - Germline bap1 mutations are associated with a novel cancer syndrome characterized by malignant mesothelioma, uveal melanoma, cutaneous melanoma and mbaits, and possibly by other cancers.
Bap1 Cancer Syndrome Malignant Mesothelioma Uveal And Cutaneous Melanoma And Mbaits : Biological Mechanisms And Clinical Significance Of Bap1 Mutations In Human Cancer Cancer Discovery - Germline bap1 mutations are associated with a novel cancer syndrome characterized by malignant mesothelioma, uveal melanoma, cutaneous melanoma and mbaits, and possibly by other cancers.
Bap1 Cancer Syndrome Malignant Mesothelioma Uveal And Cutaneous Melanoma And Mbaits : Biological Mechanisms And Clinical Significance Of Bap1 Mutations In Human Cancer Cancer Discovery - Germline bap1 mutations are associated with a novel cancer syndrome characterized by malignant mesothelioma, uveal melanoma, cutaneous melanoma and mbaits, and possibly by other cancers.. Germline bap1 mutations are associated with a novel cancer syndrome characterized by malignant mesothelioma, uveal melanoma, cutaneous melanoma and mbaits, and possibly by other cancers. 30.08.2012 · germline bap1 mutations are associated with a novel cancer syndrome characterized by malignant mesothelioma, uveal melanoma, cutaneous melanoma and mbaits, and possibly by other cancers. Germline bap1 mutations are associated with a novel cancer syndrome characterized by malignant mesothelioma, uveal melanoma, cutaneous melanoma and mbaits, and possibly by other cancers. Mbaits provide physicians with a marker to identify individuals who may carry germline bap1 mutations … 30.08.2012 · conclusions germline bap1 mutations are associated with a novel cancer syndrome characterized by malignant mesothelioma, uveal melanoma, cutaneous melanoma and mbaits, and possibly by other.
Mbaits provide physicians with a marker to identify individuals who may carry germline bap1 mutations … 30.08.2012 · germline bap1 mutations are associated with a novel cancer syndrome characterized by malignant mesothelioma, uveal melanoma, cutaneous melanoma and mbaits, and possibly by other cancers. Mbaits provide physicians with a marker to identify individuals who may carry germline bap1 mutations and thus are at high risk of developing associated cancers. 30.08.2012 · conclusions germline bap1 mutations are associated with a novel cancer syndrome characterized by malignant mesothelioma, uveal melanoma, cutaneous melanoma and mbaits, and possibly by other. Germline bap1 mutations are associated with a novel cancer syndrome characterized by malignant mesothelioma, uveal melanoma, cutaneous melanoma and mbaits, and possibly by other cancers.
Bap1 Tumour Predisposition Syndrome A New Mutation In One Family Html Acta Dermato Venereologica from www.medicaljournals.se Germline bap1 mutations are associated with a novel cancer syndrome characterized by malignant mesothelioma, uveal melanoma, cutaneous melanoma and mbaits, and possibly by other cancers. 30.08.2012 · conclusions germline bap1 mutations are associated with a novel cancer syndrome characterized by malignant mesothelioma, uveal melanoma, cutaneous melanoma and mbaits, and possibly by other. 30.08.2012 · germline bap1 mutations are associated with a novel cancer syndrome characterized by malignant mesothelioma, uveal melanoma, cutaneous melanoma and mbaits, and possibly by other cancers. Mbaits provide physicians with a marker to identify individuals who may carry germline bap1 mutations and thus are at high risk of developing associated cancers. Germline bap1 mutations are associated with a novel cancer syndrome characterized by malignant mesothelioma, uveal melanoma, cutaneous melanoma and mbaits, and possibly by other cancers. Mbaits provide physicians with a marker to identify individuals who may carry germline bap1 mutations and thus are at high risk of developing associated cancers. Mbaits provide physicians with a marker to identify individuals who may carry germline bap1 mutations …
Mbaits provide physicians with a marker to identify individuals who may carry germline bap1 mutations and thus are at high risk of developing associated cancers.
Mbaits provide physicians with a marker to identify individuals who may carry germline bap1 mutations and thus are at high risk of developing associated cancers. 30.08.2012 · germline bap1 mutations are associated with a novel cancer syndrome characterized by malignant mesothelioma, uveal melanoma, cutaneous melanoma and mbaits, and possibly by other cancers. Mbaits provide physicians with a marker to identify individuals who may carry germline bap1 mutations and thus are at high risk of developing associated cancers. Germline bap1 mutations are associated with a novel cancer syndrome characterized by malignant mesothelioma, uveal melanoma, cutaneous melanoma and mbaits, and possibly by other cancers. 30.08.2012 · conclusions germline bap1 mutations are associated with a novel cancer syndrome characterized by malignant mesothelioma, uveal melanoma, cutaneous melanoma and mbaits, and possibly by other. Germline bap1 mutations are associated with a novel cancer syndrome characterized by malignant mesothelioma, uveal melanoma, cutaneous melanoma and mbaits, and possibly by other cancers. Mbaits provide physicians with a marker to identify individuals who may carry germline bap1 mutations …
Germline bap1 mutations are associated with a novel cancer syndrome characterized by malignant mesothelioma, uveal melanoma, cutaneous melanoma and mbaits, and possibly by other cancers. Mbaits provide physicians with a marker to identify individuals who may carry germline bap1 mutations … Mbaits provide physicians with a marker to identify individuals who may carry germline bap1 mutations and thus are at high risk of developing associated cancers. 30.08.2012 · conclusions germline bap1 mutations are associated with a novel cancer syndrome characterized by malignant mesothelioma, uveal melanoma, cutaneous melanoma and mbaits, and possibly by other. Germline bap1 mutations are associated with a novel cancer syndrome characterized by malignant mesothelioma, uveal melanoma, cutaneous melanoma and mbaits, and possibly by other cancers.
Https Www Jaadcasereports Org Article S2352 5126 20 30294 0 Pdf from Mbaits provide physicians with a marker to identify individuals who may carry germline bap1 mutations and thus are at high risk of developing associated cancers. Mbaits provide physicians with a marker to identify individuals who may carry germline bap1 mutations and thus are at high risk of developing associated cancers. 30.08.2012 · conclusions germline bap1 mutations are associated with a novel cancer syndrome characterized by malignant mesothelioma, uveal melanoma, cutaneous melanoma and mbaits, and possibly by other. Mbaits provide physicians with a marker to identify individuals who may carry germline bap1 mutations … 30.08.2012 · germline bap1 mutations are associated with a novel cancer syndrome characterized by malignant mesothelioma, uveal melanoma, cutaneous melanoma and mbaits, and possibly by other cancers. Germline bap1 mutations are associated with a novel cancer syndrome characterized by malignant mesothelioma, uveal melanoma, cutaneous melanoma and mbaits, and possibly by other cancers. Germline bap1 mutations are associated with a novel cancer syndrome characterized by malignant mesothelioma, uveal melanoma, cutaneous melanoma and mbaits, and possibly by other cancers.
Mbaits provide physicians with a marker to identify individuals who may carry germline bap1 mutations …
30.08.2012 · germline bap1 mutations are associated with a novel cancer syndrome characterized by malignant mesothelioma, uveal melanoma, cutaneous melanoma and mbaits, and possibly by other cancers. Mbaits provide physicians with a marker to identify individuals who may carry germline bap1 mutations … 30.08.2012 · conclusions germline bap1 mutations are associated with a novel cancer syndrome characterized by malignant mesothelioma, uveal melanoma, cutaneous melanoma and mbaits, and possibly by other. Germline bap1 mutations are associated with a novel cancer syndrome characterized by malignant mesothelioma, uveal melanoma, cutaneous melanoma and mbaits, and possibly by other cancers. Germline bap1 mutations are associated with a novel cancer syndrome characterized by malignant mesothelioma, uveal melanoma, cutaneous melanoma and mbaits, and possibly by other cancers. Mbaits provide physicians with a marker to identify individuals who may carry germline bap1 mutations and thus are at high risk of developing associated cancers. Mbaits provide physicians with a marker to identify individuals who may carry germline bap1 mutations and thus are at high risk of developing associated cancers.
Mbaits provide physicians with a marker to identify individuals who may carry germline bap1 mutations … 30.08.2012 · conclusions germline bap1 mutations are associated with a novel cancer syndrome characterized by malignant mesothelioma, uveal melanoma, cutaneous melanoma and mbaits, and possibly by other. Mbaits provide physicians with a marker to identify individuals who may carry germline bap1 mutations and thus are at high risk of developing associated cancers. Mbaits provide physicians with a marker to identify individuals who may carry germline bap1 mutations and thus are at high risk of developing associated cancers. Germline bap1 mutations are associated with a novel cancer syndrome characterized by malignant mesothelioma, uveal melanoma, cutaneous melanoma and mbaits, and possibly by other cancers.
Bap1 Hereditary Cancer Predisposition Syndrome A Case Report And Review Of Literature Biomarker Research Full Text from media.springernature.com Mbaits provide physicians with a marker to identify individuals who may carry germline bap1 mutations … Mbaits provide physicians with a marker to identify individuals who may carry germline bap1 mutations and thus are at high risk of developing associated cancers. Mbaits provide physicians with a marker to identify individuals who may carry germline bap1 mutations and thus are at high risk of developing associated cancers. 30.08.2012 · conclusions germline bap1 mutations are associated with a novel cancer syndrome characterized by malignant mesothelioma, uveal melanoma, cutaneous melanoma and mbaits, and possibly by other. 30.08.2012 · germline bap1 mutations are associated with a novel cancer syndrome characterized by malignant mesothelioma, uveal melanoma, cutaneous melanoma and mbaits, and possibly by other cancers. Germline bap1 mutations are associated with a novel cancer syndrome characterized by malignant mesothelioma, uveal melanoma, cutaneous melanoma and mbaits, and possibly by other cancers. Germline bap1 mutations are associated with a novel cancer syndrome characterized by malignant mesothelioma, uveal melanoma, cutaneous melanoma and mbaits, and possibly by other cancers.
Germline bap1 mutations are associated with a novel cancer syndrome characterized by malignant mesothelioma, uveal melanoma, cutaneous melanoma and mbaits, and possibly by other cancers.
Germline bap1 mutations are associated with a novel cancer syndrome characterized by malignant mesothelioma, uveal melanoma, cutaneous melanoma and mbaits, and possibly by other cancers. 30.08.2012 · germline bap1 mutations are associated with a novel cancer syndrome characterized by malignant mesothelioma, uveal melanoma, cutaneous melanoma and mbaits, and possibly by other cancers. Mbaits provide physicians with a marker to identify individuals who may carry germline bap1 mutations and thus are at high risk of developing associated cancers. 30.08.2012 · conclusions germline bap1 mutations are associated with a novel cancer syndrome characterized by malignant mesothelioma, uveal melanoma, cutaneous melanoma and mbaits, and possibly by other. Mbaits provide physicians with a marker to identify individuals who may carry germline bap1 mutations and thus are at high risk of developing associated cancers. Mbaits provide physicians with a marker to identify individuals who may carry germline bap1 mutations … Germline bap1 mutations are associated with a novel cancer syndrome characterized by malignant mesothelioma, uveal melanoma, cutaneous melanoma and mbaits, and possibly by other cancers.
0 comments